Внимание! Размещенный на сайте материал имеет информационно - познавательный характер, может быть полезен студентам и учащимся при самостоятельном выполнении работ и не является конечным информационным продуктом, предоставляемым на проверку.
Лабораторная работа. Определение напряжений в элементах конструкций электротензометрированием.
<в каталог
Цель работы: изучение методики и определение напряжений в элементах конструкций электротензометрированием; сравнение расчетных и экспериментальных значений напряжений.
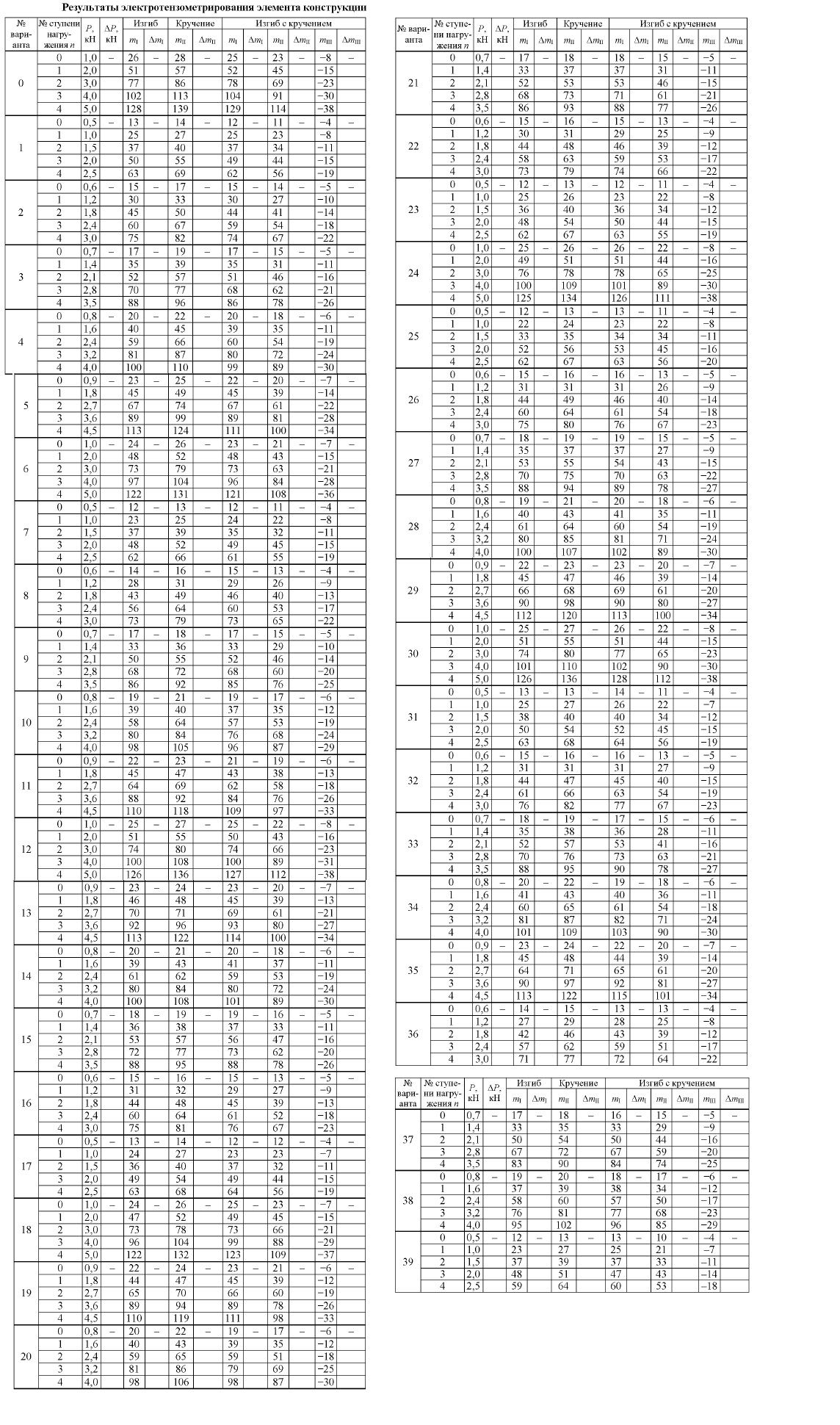
Таблица с вариантами

- Раскрыть таблицу полностью -
Цель работы: Изучение методики определения напряжений электротензометрированием при оценке прочности ЭК.
2. Рабочий тензорезистор 1 наклеен по направлению главной деформации De1 и находится в условиях линейного напряженного состояния. Определяем экспериментальные значения главной деформации и главного напряжения
4. Для оценки прочности балки определяем экспериментальное значение напряжений при максимальной нагрузке
2. При кручении вала реализуется частный случай плокого напряженного состояния, когда главная деформация . Главную деформация измеряет рабочий тензометр II, наклееный на вал под углом 45 градусов. Определяем экспериментальные значения главных деформаций
5. Для оценки прочности вала находим экпериментальное значение касательных напряжений при максимальной нагрузке
Вычисляем расчетные приращения нормальных, касательных, главных и эквивалентных напряжений в точке А.
2 . По трем показаниям ИДЦ прямоугольной розетки тензорезисторов находим экспериментальные приращения деформаций:
6. Для оценки прочности элемента конструкции находим экспериментальные эквивалентные напряжения при максимальной нагрузке:
Вывод:
1.Изучена методика определения напряжений электротензометрированием с целью экспериментальной оценки прочности элементов конструкций.
2.Во всех трех опытах отклонения результатов расчета от эксперимента не превышают 5 %. Следовательно, электротензометрирование может эффективно использоваться для экспериментального определения напряжений при оценке прочности элементов конструкций.
3.Расхождения между расчетными и экспериментальными напряжениями обусловлены рядом принимаемых гипотез при выводе формул для расчета напряжений, а также погрешностями измерения деформаций при электротензометрировании.



