Произвести термодинамический расчет многоступенчатого поршневого компрессора
Задача 1 | Задача 2 | Каталог
Произвести термодинамический расчет многоступенчатого поршневого компрессора, производящего G , кг в секунду сжатого до давления Рк воздуха, если предельно допустимое повышение температуры газа в каждой ступени Δt, а сжатие происходит с показателем политропы n.
Состояние воздуха на входе в компрессор: P1 = 0,1 МПа; t1 = 27°С. В промежуточных теплообменниках сжатый воздух охлаждается изобарно до первоначальной температуры t1 .
Определить:
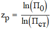
- количество ступеней компрессора:
- температуру воздуха после сжатия в каждой ступени;
- количество теплоты, отводимое в систему охлаждения цилиндров компрессора и в промежуточных теплообменниках;
- объемную производительность компрессора по входу и выходу.
Принимаемые допущения:
- компрессор считать идеальным, трением и вредным пространством пренебречь;
- степень повышения давления в каждой ступени компрессора считать одинаковыми.
Таблица с выбором вариантов

Таблица с готовыми вариантами
| вариант №1 | вариант №21 | вариант №41 | вариант №61 | вариант №81 |
| вариант №2 | вариант №22 | вариант №42 | вариант №62 | вариант №82 |
| вариант №3 | вариант №23 | вариант №43 | вариант №63 | вариант №83 |
| вариант №4 | вариант №24 | вариант №44 | вариант №64 | вариант №84 |
| вариант №5 | вариант №25 | вариант №45 | вариант №65 | вариант №85 |
| вариант №6 | вариант №26 | вариант №46 | вариант №66 | вариант №86 |
| вариант №7 | вариант №27 | вариант №47 | вариант №67 | вариант №87 |
| вариант №8 | вариант №28 | вариант №48 | вариант №68 | вариант №88 |
| вариант №9 | вариант №29 | вариант №49 | вариант №69 | вариант №89 |
| вариант №10 | вариант №30 | вариант №50 | вариант №70 | вариант №90 |
| вариант №11 | вариант №31 | вариант №51 | вариант №71 | вариант №91 |
| вариант №12 | вариант №32 | вариант №52 | вариант №72 | вариант №92 |
| вариант №13 | вариант №33 | вариант №53 | вариант №73 | вариант №93 |
| вариант №14 | вариант №34 | вариант №54 | вариант №74 | вариант №94 |
| вариант №15 | вариант №35 | вариант №55 | вариант №75 | вариант №95 |
| вариант №16 | вариант №36 | вариант №56 | вариант №76 | вариант №96 |
| вариант №17 | вариант №37 | вариант №57 | вариант №77 | вариант №97 |
| вариант №18 | вариант №38 | вариант №58 | вариант №78 | вариант №98 |
| вариант №19 | вариант №39 | вариант №59 | вариант №79 | вариант №99 |
| вариант №20 | вариант №40 | вариант №60 | вариант №80 | вариант №100 |
Пример выполненной работы (первые 4 листа) ↓↓↓
Автор страницы: admin



