Внимание! Размещенный на сайте материал имеет информационно - познавательный характер, может быть полезен студентам и учащимся при самостоятельном выполнении работ и не является конечным информационным продуктом, предоставляемым на проверку.
Лабораторная работа. Определение реактивных факторов в статически неопределимых балках
Цель работы: изучение методов экспериментального определения лишних реактивных факторов в статически неопределимых балках; сравнение результатов расчета и эксперимента.
Опыт №1. Оределение опорной реакции Х в статически неопределимой балке.
Опыт №2. Определение опорного момента Ма в статически неопределимой балке.
Таблица с вариантами

- Раскрыть таблицу полностью -
| Вариант 0 | Вариант 1 | Вариант 2 | Вариант 3 | Вариант 4 | Вариант 5 | Вариант 6 | Вариант 7 | Вариант 8 | Вариант 9 |
| Вариант 10 | Вариант 11 | Вариант 12 | Вариант 13 | Вариант 14 | Вариант 15 | Вариант 16 | Вариант 17 | Вариант 18 | Вариант 19 |
| Вариант 20 | Вариант 21 | Вариант 22 | Вариант 23 | Вариант 24 | Вариант 25 | Вариант 26 | Вариант 27 | Вариант 28 | Вариант 29 |
| Вариант 30 | Вариант 31 | Вариант 32 | Вариант 33 | Вариант 34 | Вариант 35 | Вариант 36 | Вариант 37 | Вариант 38 | Вариант 39 |
<в начало
Цель работы: изучение методов экспериментального определения лишних реактивных факторов в статически неопределимых балках; сравнение результатов расчета и эксперимента.
Опыт №1. Определение опорной реакции Xв статически неопределимой балке
Постановка опыта. Экспериментальное определение реакции X опоры А проводится на лабораторной установке (рис. 1), состоящей из стальной (Е = 2 105 МПа) консольной балки прямоугольного сечения (b = 30 мм; h = 15 мм), защемленной правым концом в жесткой заделке В. В сечении А к балке присоединен динамометр Д, подвешенный к кронштейну на тяге с резьбой и гайкой. Для контроля прогиба в сечении А установлен индикатор часового типа (ИЧТ). Результаты эксперимента приведены в табл. 1.
Требуется: определить расчетное X и экспериментальное Хэ значения опорной реакции; построить графики X - Р, Хэ - Р; оценить отклонение результатов расчета от эксперимента.
2. Балка один раз статически неопределима, поскольку неизвестны три реактивных фактора , а уравнения равновесия - два
. Уравнение
вырождается в тождество. За "лишнюю" неизвестную принимаем реакцию Х шанирной опоры А. Следовательно уравнение совместности уравнений примет вид
(прогиб в шарнирной опоре А равен 0). Используя интеграл О. Мора, получаем Х = P(1+3a/2l), ΔX = ΔP(1+3a/2l). Вычисляем расчетные значения опорной реккции ΔХ на ступень нагружения
Н и Х при максимальной нагрузке
Н.
Рис.2. Расчетная зависимость лишней опорной реакции Х от действующей силы Р и соответствующие экспериментальные результаты.
Опыт № 2. Определение опорного момента М в статически неопределимой балке.
Постановка опыта. Экспериментальное определение опорного момента Мa проводится на лабораторной установке (рис. 3), состоящей из стальной (Е = 2 * 105 МПа) балки прямоугольного сечения (b1 = 40 мм; h = 5 мм) длиной l = 800 мм и специального рычажного устройства с грузами G1 , G2, имитирующего жесткое закрепление левого конца балки. Для регистрации угла поворота опорного сечения А установлен индикатор часового типа (ИЧТ). Результаты эксперимента приведены в табл. 2.
Требуется: определить расчетное и экспериментальное значение опорного момента; оценить отклонение результатов расчета от эксперимента.
2. Балка один раз статически неопределима, т.к. неизвестны три реактивных фактора , а уравнения равновесия - два
. За лишнюю неизвестную принят момент
в жесткой заделке А. С учетом этого уравнениесовместимости перемещений имеет вид
(угол поворота сечения в жесткой заделке равен 0) . Используя графоаналитический метод А.Н. Верещагина, находим
. Вычисляем расчетные значения опорного момента
на ступень нагружения
и
при максимальной нагрузке
:
Рис. 4. Расчетная зависимость опорного момента Ма от дествующей силы Р и соответствующие экспериментальные результаты.
Выводы:
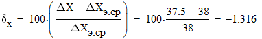
1. Отклонения результатов расчетов от экспериментов обусловлены как приближенностью расчетных формул, так и погрешностями экспериментов (динамометра, индикаторов часового типа).
2. Вместе с тем расчетные значения реактивных факторов соответствуют экспериментальным данным с достаточной для инженерных приложений точностью, а рассматриваемые расчетные методы раскрытия статической неопределимости упругих систем могут использоваться на практике.



