Внимание! Размещенный на сайте материал имеет информационно - познавательный характер, может быть полезен студентам и учащимся при самостоятельном выполнении работ и не является конечным информационным продуктом, предоставляемым на проверку.
Артикул: тепл135-61
Автор решения: testadmin
Задача №1. Рассчитать толщину слоя изоляции, имеющего на поверхностях температуры соответственно tc1 и tс2 °С, если допустимые тепловые потери q, Вт/м2, а…
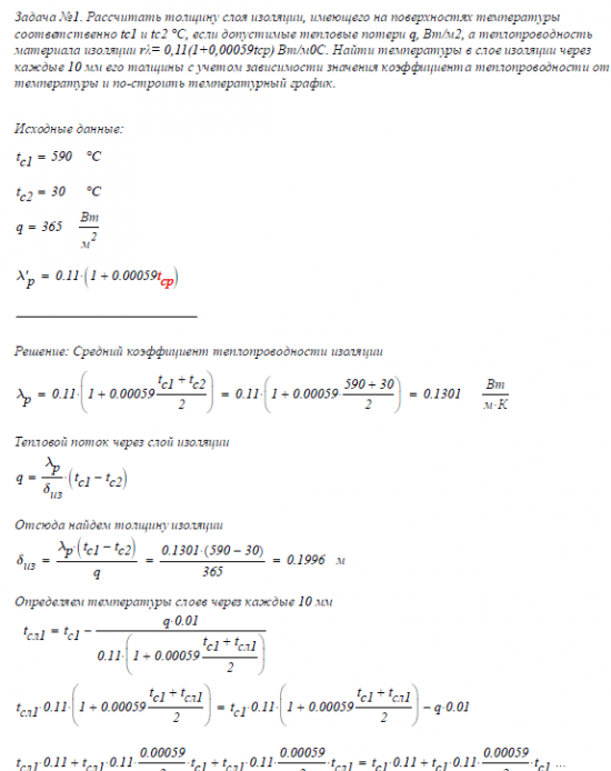
Задача №1. Рассчитать толщину слоя изоляции, имеющего на поверхностях температуры соответственно tc1 и tс2 °С, если допустимые тепловые потери q, Вт/м2, а теплопроводность материала изоляции rλ= 0,11(1+0,00059tср) Вт/м0С. Найти температуры в слое изоляции через каждые 10 мм его толщины с учетом зависимости значения коэффициента теплопроводности от температуры и построить температурный график.
>исходные данные<
Задача №2. Стальной паропровод диаметром 150 мм и толщиной стенки δ1, мм имеет на внутренней поверхности температуру tc1 0С. Коэффициент теплопроводности материала паропровода λ = 50 Вт/м0С. Его надо покрыть двумя слоями изоляции, причем температура наружной поверхности изоляции не должна превышать tc4 °С. Для изоляции предлагаются: слой А толщиной δ2 мм и теплопроводностью λ=0,037 Вт/(м0С) и слой Б толщиной δ3 мм и теплопроводностью Бλ=0,14 Вт/(м0С). В какой последовательности надо расположить эти слои на паропроводе, чтобы получить минимальные тепловые потери? Определить температуры на внешней поверхности паропровода tc2 и между слоями изоляции tc3 при минимальных тепловых потерях. Построить график изменения температуры в многослойной цилиндрической стенке. Задачу решить с учетом кривизны поверхности.
>исходные данные<
Задача №3. По стальному трубопроводу диаметром 60 мм, толщиной стенки трубы δ1= 3,5 мм с коэффициентом теплопроводности материала трубопровода λ= 42 Вт/м0С движется пар при давлении Р, Па. Коэффициент теплоотдачи от пара к трубе α1, Вт/м2 °С. Окружающий наружный воздух имеет температуру tж2 °С. Найти тепловые потери с единицы длины: а) если трубопровод не изолирован и охлаждается воздухом с коэффициентом теплоотдачи α2 = 20 Вт/м2 °С; б) если трубопровод изолирован слоем пеношамота толщиной δ2 мм с коэффици-ентом теплопроводности λ= 0,28 Вт/м 0С и охлаждается воздухом с коэффициентом теплоотдачи α2 = 15 Вт/(м2·С0). Определить температуры на поверхно-стях трубопровода tc1 , tc2 и температуру на поверхности пеношамота tc3.
>исходные данные<
Задача №4. Электропровод диаметром d, мм покрыт изоляцией толщиной δ, мм. По проводу проходит ток силой I, А. Температура окружающего воздуха вt, а коэффициент теплоотдачи к воздуху α. Найти температуры на поверхности провода и изоляции, мощность внутренних источников теплоты. Удельное электросопротивление алюминия 2,62∙10-8 Ом*м, меди 1,62·10-8 Ом*м.
>исходные данные<
Задача 5. Для детали цилиндрической формы найти температуру на оси и на поверхности через 40 мин после начала нагрева ее в печи, где газы имеют температуру tж ,°С и коэффициент теплоотдачи α, Вт/(м2·0С). Диаметр детали d, м, длина l= 0,4 м, начальная температура t0, °С. Материал детали имеет теплоемкость cp= 0,32 кДж/кг·0C, плотность ρ=6000кг/м8, теплопроводность λ= 23 Вт/м·0С.
>исходные данные<
Задача 6. Газ при атмосферном давлении со средней температурой tж протекает по горизонтальной трубе. Расход газа m,кг/с, внутренний диаметр трубы d, мм, длина l, мм. Средняя температура стенки трубы tc. Найти:
1) средний коэффициент теплоотдачи от газа к стенке трубы;
2) тепловой поток;
3) во сколько раз изменится коэффициент теплоотдачи, если скорость газа увеличить в 2,5 раза?
4) во сколько раз изменится коэффициент теплоотдачи, если уменьшить диаметр трубы в 2 раза при неизменном расходе газа?
>исходные данные<
Задача 7. Пучок труб поперечно обтекается горячим воздухом со скоростью ω в узком сечении и средней температурой tж. Трубы наружным диаметром d обтекаются под углом атаки ϕ. Шаги труб: s1=k1d, s2=k2d. Определить средний коэффициент теплоотдачи пучка, если число рядов труб в пучке z.
>исходные данные<
Общее количество страниц - 14
Формат документа - pdf
Выполнен вариант - 61
<в начало
Фрагмент решения ↓↓↓
Цена: 1100.00р.




